|
10.7.2009 | doc. Ing. Jan Kaňka, Ph.D.
Poznámka k přesnosti měření denního osvětlení
Poznámka k přesnosti měření denního osvětlení
doc. Ing. Jan Kaňka, Ph.D.
1. Úvod – nejistoty měření podle ČSN 361100-2 Měření denního osvětlení se provádí současně dvěma luxmetry. Jedním se měří osvětlenost E (lx) v daném místě a druhým horizontální exteriérová osvětlenost EH (lx) tj. osvětlenost vodorovné roviny na nezastíněném místě např. na střeše domu. Činitel denní osvětlenosti D (%) se stanoví podle vztahu
( 1 )
Měření se musí provádět při úplné oblačnosti, kdy jasové poměry na obloze co nejvíce odpovídají modelu zatažené oblohy v zimě (obloha CIE, ČSN 730580-1 čl. 4.1.9 a příloha A.2). Tento model je nezávislý na světových stranách. Jas oblohy L (cd.m-2) jako plošného zdroje světla se mění jen v závislosti na výškovém úhlu (°) nad horizontem podle vztahu
( 2 )
kde Lm (cd.m-2) je průměrný jas oblohy. Postup při měření upravuje ČSN 360011-2 Měření denního osvětlení. Norma uvádí tyto nejistoty měření:
- a) nejistota kalibrace (luxmetrů, jasoměru)
- b) nejistota chybami měřidel (luxmetrů, jasoměru)
- c) nejistota chybou zaokrouhlování
- d) nejistota z chyby korekcí (na kalibrační křivku, druh světla)
- e) nejistota chybami metody
- e1) plošné umístění fotonky (luxmetru, jasoměru)
- e2) výškové umístění fotonky (luxmetru, jasoměru)
- e3) směrování časoměru
- e4) chyba časového souběhu odečtu
- e5) chyba rovnoměrnosti zatažení oblohy
- e6) měřící body (počet a umístění)
- e7) ostatní
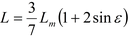
2. Nejistota z rozložení jasu na obloze
V tomto příspěvku se chci věnovat nejistotě ad e5) chyba rovnoměrnosti zatažené oblohy. Obloha jako plošný zdroj světla se neustále dynamicky mění v závislosti na roční i denní době a na stavu atmosféry (na počasí). Proto se měření denního osvětlení může provádět jen některé dny v roce a tato skutečnost je příčinou, proč se i u kolaudací většinou dává přednost světelně technickým výpočtům před výsledky měření. Prakticky vzato, obloha při měření nemá vlastnosti podle vztahu ( 2 ) přesně nikdy a jen při jistém stavu počasí (tlaková níže, přechod teplé fronty, mlha) má po delší dobu vlastnosti, které se obloze CIE podobají. ČSN 360011-2 v článku 4.6.2 uvádí postup, kterým je nutno při měření jasové poměry kontrolovat pomocí jasoměru. Měří se jas v zenitu Lz (cd.m-2), v elevačním úhlu (cd.m-2) a v elevačním úhlu (cd.m-2). Norma požaduje udržet poměry jasů v následující relaci
( 3 )
Tak velký rozptyl hodnot byl stanoven proto, aby při proměnlivosti oblačnosti bylo vůbec možno měřit.
V diagramu na obr. 1 je uvedena závislost poměru jasů L/Lz na elevačním úhlu (°). prostřední křivka je kompatibilní s modelem CIE oblohy, další dvě křivky ukazují normou ještě „povolený“ rozptyl. Horní křivka nakreslená přerušovanou čarou představuje „maximální variantu“ a dolní čerchovaná „variantu minimální“. Teoreticky by požadavkem normy prošla i varianta naznačená bílými kroužky, ale takovou nerovnoměrnost jasů na obloze by zkušený měřič jistě poznal. Pro jednotlivé varianty byl stanoven vztah na výpočet činitele gradovaného jasu q (-), který je třeba k výpočtu oblohové složky činitele denní osvětlenosti.
Výpočet byl proveden pro kontrolní body obytné místnosti půdorysných rozměrů 6 x 4 m a světlé výšky 2,6 m osvětlenou jedním oknem 1,5/1,5 (0,85) m s volným horizontem umístěným v podélné ose místnosti. Výpočet oblohové složky Ds (%) činitele denní osvětlenosti byl proveden Daniljukovou metodou (obr.2) s tímto výsledkem:
maximální varianta Ds = 0,39 % obloha CIE Ds = 0,35 % minimální varianta Ds = 0,25 %
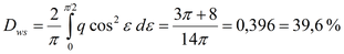
Vnitřní odražená složka Di (%) činitele denní osvětlenosti závisí na hodnotě činitele denní osvětlenosti svislé roviny okna Dw (%). Tato hodnota byla pro jednotlivé varianty stanovena přímou integrací. Například pro oblohu CIE bude příspěvek oblohy Dws (%).
( 4 )
Příspěvek od terénu Dwt (%) lze při činiteli jasu terénu k = 0,1 stanovit podle vztahu
( 5 )
Pro jednotlivé varianty vyšly hodnoty
maximální varianta Dw = 41,9 + 5 = 46,9 % obloha CIE Dw = 39,6 + 5 = 44,6 % minimální varianta Dw = 34,7 + 5 = 39,7 %
Pro průměrný činitel odrazu vnitřních ploch v místnosti = 0,5 byla metodou BRS stanovena hodnota vnitřní odražené složky Di (%) činitele denní osvětlenosti pro oblohu CIE. Hodnoty v obou dalších variantách byly pak stanoveny v poměru k vypočteným hodnotám Dw (%). Pro jednotlivé varianty byly tak stanoveny tito činitelé
maximální varianta Di = 0,53 % obloha CIE Ds = 0,50 % minimální varianta Ds = 0,45 %
Činitel denní osvětlenosti je součtem obou složek
maximální varianta D = Ds + Di = 0,39 + 0,53 = 0,92 % obloha CIE D = Ds + Di = 0,35 + 0,50 = 0,85 % minimální varianta D = Ds + Di = 0,25 + 0,45 = 0,70 %
Všechny tři uvedené hodnoty by bylo možno naměřit přesnou metodou podle ČSN 360011-2 aniž by došlo k větším pochybením v rovnoměrnosti zatažení oblohy, než jaké připouští norma. Z toho maximální hodnota vyhovuje požadavkům pro obytnou místnost, prostřední „správná“ CIE hodnota vyhoví po zaokrouhlení a minimální hodnota zřetelně požadavkům nevyhovuje. Další typy nejistot mohou rozptyl naměřených hodnot ještě dále zvyšovat.
3. Nejistota v činiteli odrazu světla
Ještě krátce se zmím o nejistotě, která patří mezi ad e7) ostatní. Jedná se o nejistotu plynoucí z činitele odrazu světla vnitřních ploch interiéru. Při navrhování denního osvětlení obytných místností se v souladu s ČSN 730580-1 jednotně používá = 0,5. Stačí ale položit tmavý koberec rozvěsit větší obrazy a zařídit místnost ne právě nejsvětlejším nábytkem a bude = 0,45. V takovém případě je třeba vnitřní odraženou složku činitele denní osvětlenosti násobit výrazem

V minimální variantě tak měřič denního osvětlení obdrží po zaokrouhlení výsledek
D = 0,25 + 0,45 . 0,82 = 0,6 %
přestože projektant na základě výpočtu deklaroval vyhovující hodnotu D = 0,9 %
4. Závěr
Na uvedeném příkladu bylo ukázáno, jak je měření denního osvětlení málo přesné. Přitom výsledky měření mohou mít v jednotlivých případech fatální právní dopady na účastníky investiční výstavby a na jejich milionové investice. V současné době jsou pro výpočty činitele denního osvětlení k dispozici výpočetní programy fungující na principu „black box“, které uvádějí výsledky s přesností daleko převyšující možnou nejistotu měření. Domnívám se, že tato situace není příznivá a vede z ní jen jedna cesta:
1) měření denního osvětlení lze provádět jen některé dny v roce a jeho přesnost je velmi omezená – může sloužit jen ke hrubé orientaci např. pro stanovení třídy zrakové činnosti na pracovišti. Pro účely rozhodování sporů o stínění budov se měření nehodí.
2) nemá smysl usilovat o co nejvyšší přesnost světelně technických výpočtů, protože nemůže být k dispozici výsledek měření, který by umožnil míru přesnosti výpočtu ohodnotit.
3) v zájmu spravedlivého posouzení denního osvětlení včetně posuzování vzájemného stínění budov je třeba usilovat o jednotnost metodiky výpočtu a jednotnost parametrů vstupujících do výpočtu (činitelé prostupu a odrazu světla, činitelé jasu stínících překážek). Nemohou-li být výpočty přesné, musí být jednotné.
4) jednotnosti výpočtů je třeba dát přednost před jejich přesností.
|
Příloha – obrázky: obr. 1 : Diagram závislosti poměru jasů L/L90 na elevačním úhlu obr. 2: Příklad stanovení Ds (%)
|